Tetapi yang penting adalah kita mempunyai semangat kerja yang tanggu untuk bisa bekerja di tempat kerja anda yang inginkan. Jika anda bermaksud melamar untuk posisi staf accounting.
Contoh Surat Lamaran Kerja Tulis Tangan Yang Benar
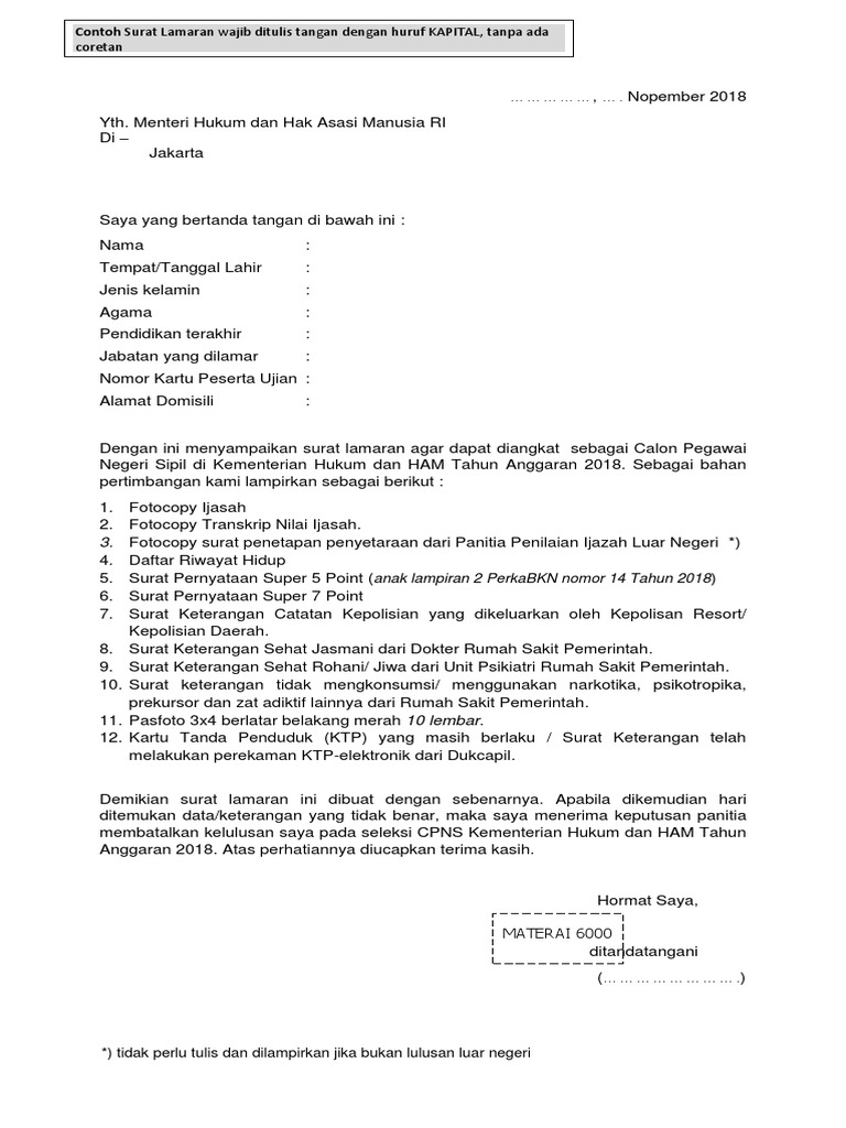
Contoh surat lamaran tulis tangan dengan huruf kapital. Surat lamaran kerja menjadi salah satu poin penting yang dapat menentukan kelanjutan proses perekrutan kandidat di suatu perusahaan. Contoh surat lamaran staff acounting. Nama pelamar tidak usah ditulis dengan huruf kapital semua atau diletakkan di dalam tanda kurung. Berikut ini beberapa contoh surat lamaran kerja tulis tangan. Sebelum anda menulis surat lamaran ada baiknya anda memperhatikan tugas dan job deskripsi staf akunting yang dilamar. Contoh surat lamaran kerja 2019 terbaru bagi seseorang yang ingin bekerja pada suatu perusahaan pasti akan mendaftarkan diri dengan membuat persyaratan tertentu agar kemungkinan besar diterima pada perusahaan tersebut yang salah satunya adalah surat lamaran kerja.
Salah satu contoh umumnya adalah ketika melamar kerja sebagai calon pegawai negeri sipil cpns. Biasanya kualifikasinya sebagai berikut. Untuk memperjelas dari apa yang kami sampaikan diatas maka kami telah membuatkan contoh surat lamaran kerja rumah sakit tersebut. Contoh surat lamaran kerja di rumah sakit tulis tangan yang baik dan benar suratkerjaterbaru. Tidak menggunakan huruf kapital dengan baik dan benar. Tetapi banyak sekali diantara kita yang tidak tahu bagaimana cara membuat surat lamaran kerja yang baik agar kemungkinan.
Surat lamaran kerja huruf kapital untuk soal melamar kerja memang dibutuhkan banyak sekali hal tentang pengalaman tetapi tidak semua membutuhkan pengalaman kerja. Nah saat ini masih banyak perusahaan atau instansi yang mengharuskan surat lamaran kerja tulis tangan dengan tinta hitam.















