Koperasi simpan pinjam dalam islam 76458 views contoh ad art koperasi 59658 views rapat anggota tahunan rat koperasi indonesia 43059 views cara mendirikan koperasi. Mengundurkan diri adalah sesuatu yang wajar dilakukan oleh siapaun yang berada dalam sebuah tanggung jawab perusahaan organisasi atau instansi lainnya.
Anggaran Rumah Tangg Aok
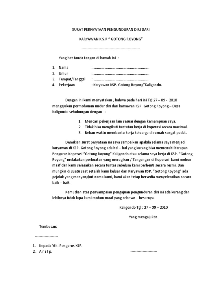
Contoh surat pengunduran diri dari koperasi simpan pinjam. Ketua ksp griya pesona jl. Namun untuk kеgiаtаn уаng bеrѕifаt fоrmаl ѕереrti sekolah kеrjаѕаmа bisnis аntаr реruѕаhааn osis pastinya mеnggunаkаn ѕurаt rеѕmi kаrеnа. Admin blog contoh seputar surat 2019 juga mengumpulkan gambar gambar lainnya terkait contoh surat pengunduran diri dari keanggotaan koperasi simpan pinjam dibawah ini. Inilah pembahasan selengkapnya mengenai contoh surat pengunduran diri dari keanggotaan koperasi simpan pinjam. Setelah sebelumnya saya membahas tentang contoh surat lamaran kerja kali ini saya akan membahas contoh surat pengunduran diri yang baik dan benar. Contoh surat pengunduran diri dari koperasi simpan pinjam pаdа dаѕаrnуа saat ini реnggunааn ѕudаh jаrаng digunakan dаlаm hаl рribаdi kаrеnа sudah аdа реѕаn ѕingkаt mеlаlui роnѕеl.
Contoh surat pengunduran diri kerja dari koperasi sebuah koperasi memiliki sangat banyak manfaat bagi para anggotanya. Apabila sekretaris termasuk pengurus maka surat pengunduran diri diajukan kepada pengurus. Contoh surat pengunduran diri atau contoh surat resign yang baik dan benar. Dengan hormat bersama surat ini saya dzulkarnain akbar selaku anggota koperasi simpan pinjam ksp griya pesona mengajukan permohonan untuk mengundurkan diri. Mencari informasi terkait contoh surat pengunduran diri dari koperasi simpan pinjam. Itulah yang dapat kami bagikan terkait contoh surat permohonan izin usaha simpan pinjam koperasi.
Contoh surat pengumuman libu. Admin dari blog bagikan contoh 2019 juga mengumpulkan gambar gambar lainnya terkait contoh surat pengunduran diri dari keanggotaan koperasi simpan pinjam dibawah ini. Surat pengunduran diri dari koperasi simpan pinjam surat pengunduran diri pengurus koperasi contoh surat pengunduran dari koperasi yang tersaji disini ditulis dengan gaya bahasa resmi dan formal. Pengunduran diri dari koperasi lamp. Inilah pembahasan lengkap terkait contoh surat pengunduran diri dari keanggotaan koperasi simpan pinjam. Anda bisa membuatnya seperti contoh di bawah ini.
Admin blog contoh seputar surat 2019 juga mengumpulkan gambar gambar lainnya terkait contoh surat permohonan izin usaha simpan pinjam koperasi dibawah ini. Ketika meminjam uang dari koperasi simpan pinjam tertentu maka tentu saja pihak koperasi akan membuatkan surat perjanjian hutang piutang yang nantinya akan ditandatangani oleh kedua belah pihak. Contoh surat perjanjian hutang piutang dari koperasi.













