Pada kesempatan kali ini admin akan memberikan paparan tentang contoh surat permohonan dimulai dari pengertian fungsi dan tujuan jenis jenisnya ciri cirinya hal hal apa saja yang harus diperhatikan. Sertifikat kepelautan basic safety training bst atau attant yang masih berlaku dan online di website resmi.
Contoh Surat Mutasi Off Pelayaran
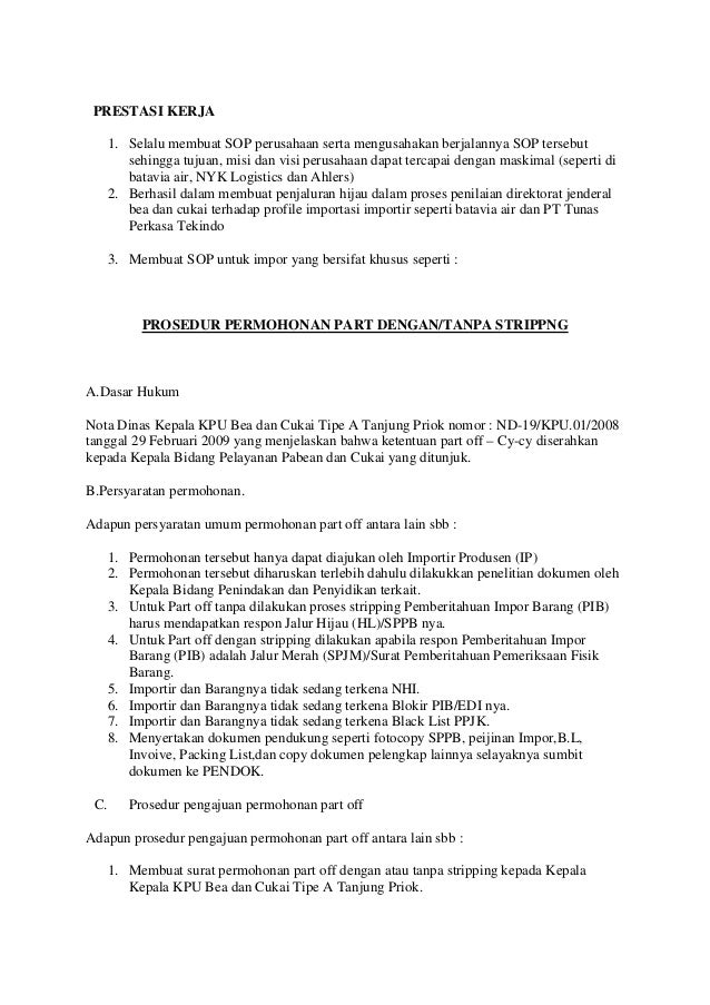
Contoh surat permohonan off dari kapal. Part off container import export bukan saja hanya untuk perusahaan international freight forwarder export lcl dan import lcl consol groupage namun juga bisa di lakukan oleh consignee sebagai importir barang dari dengan 1 master bill of lading dengan beberapa commercial invoice dan packing list edit 09 januari 2020. Contoh surat permohonan dan cara membuatnya hallo sahabat juragan sekalian sebelumnya admin ingin mengucapkan terimakasih karena telah mengungjungi laman situs pada artikel berikut ini. Gambar gambar sesuai dengan contoh surat permohonan off dari kapal. Sertifikat kapal dan surat kapal harus dimiliki oleh sebuah kapal pertama sekali dimana saat kapal baru selesai dibangun atau baru dibeli. Bagi awak kapal yang belum sempat melakukan sijil naikturun di syahbandar indonesia sign onsign off kbri kuala lumpur dan kjri di seluruh malaysia dapat memberikan layanan sijil ini kepada setiap awak kapal indonesiaadapun persyaratan untuk melakukan sign onsign off adalah. 2siapkan buku pelaut asli dan foto copy satu set 3siapkan foto copy online certificateijasah pelaut dan bst sebanyak 1 lembar jika diminta 4beli blangko untuk pengurusan mutasi off di koperasi seharga 10 rb.
Artikel ini di update kembali buat sobat semu anya agar tampilan blog bisa cepat loading dan tidak menggangu sobat yang butuh contoh surat peng eluaran barang sebagian dari kepaeaan bea dan cuka indonesia contoh surat pengeluaran barang sebagian baik untuk. 15 contoh surat permohonan izin untuk berbagai kepentingan walaupun penggunaan surat belakagan ini sudah semakin menurun namun masih ada beberapa contoh surat. 1siapkan surat mutasi off dari kapal atau dari perusahaan yang asli dam fotocopy 1 lembar. Tentu perlu diadakan surey untuk melengkapi data data kapal yang diperlukan mengeluarkan sertfikat atau surat surat kapal oleh instansi yang berwewenang dan sesuai dengan peraturan dan undang undang yang berlaku setelah segala sesuatunya selesai maka. Contoh surat permohonan dalam kehidupan kita sehari hari sering kali kita dihadapkan dengan suatu kondisi yang tidak memungkinkan untuk dapat dikerjakan dengan sendiri dan harus memerlukan bantuan ataupun pertolongan dari orang lain. Contoh surat permohonan peserta lkti.
Surat permohonan berisi tentang sebuah permintaan tentang sesuatu hal kepada pihak yang bersangkutan perseorangan badan atau lembaga organisasi perusahaan atau instansi dan lainnya. 4 contoh surat berhenti kerja ikut situasi no. Contoh surat permohonan dalam kehidupan sehari hari sering kali kita dihadapkan dengan suatu situasi yang tidak dapat dikerjakan dengan sendiri dan harus memerlukan bantuan pertolongan dari orang lainagar permohonan tersebut dikabulkan maka kita harus membuat sebuah surat permohonan yang ditujukan kepada pihak yang bersangkutan. Contoh surat pengajuan permohonan part off container ke bea cukai indonesia. Agar permohonan tersebut dikabulkan ada saatnya kamu akan meminta atau memohon bantuan kepada orang lain dan biasanya harus mengajukan surat permohonan. Contoh surat pengeluaran barang sebagian di kepabeanan bea cukaipembaca undername import export blog yang muliaketemu lagi di blog ini.
















