Selain pihak pemerintah dan perusahaan ada juga beberapa yayasan yang memberikan beaiswa kepada siswamahasiswa terpilih. Agar permohonan tersebut dikabulkan ada saatnya kamu akan meminta atau memohon bantuan kepada orang lain dan biasanya harus mengajukan surat permohonan.
Bank Surat Com Permohonan Beasiswa
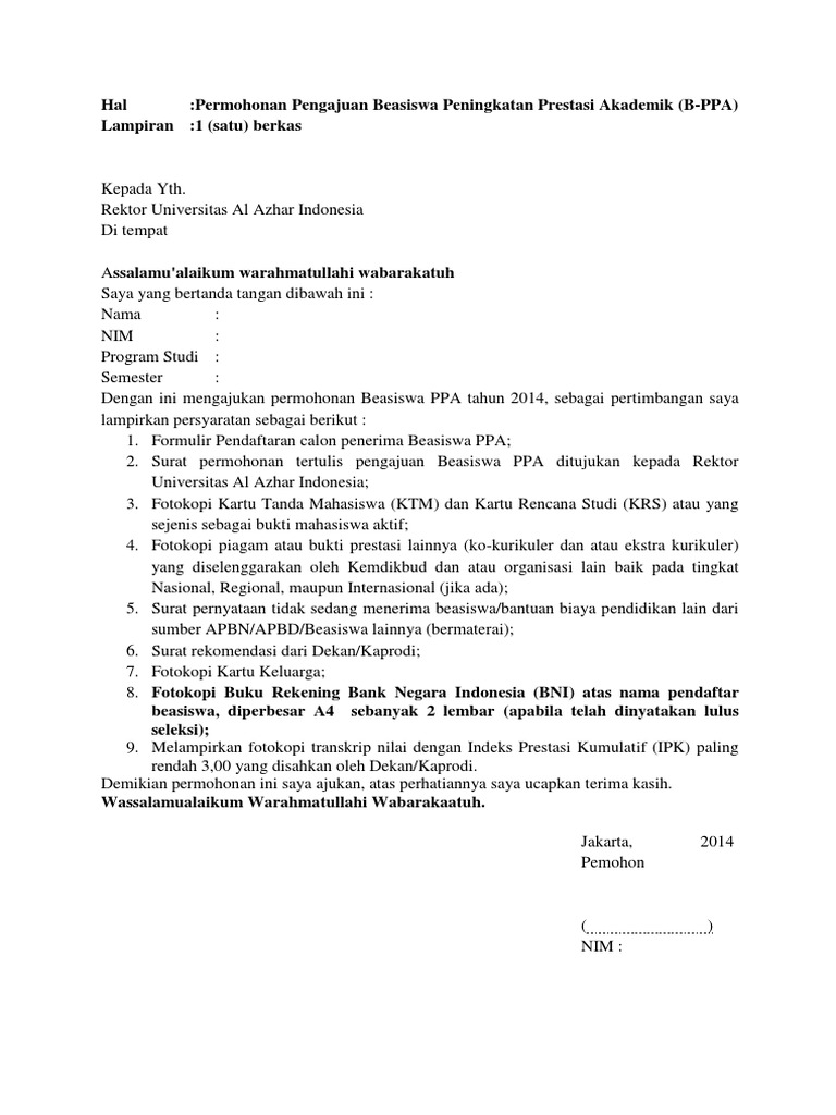
Contoh surat permohonan pengajuan beasiswa. Namun ada kalanya jika anda ataupun pihak sekolah harus mengajukan terlebih dahulu. Contoh surat permohonan beasiswa. Bagi mahasiswa yang mengajukan surat permohonan beasiswa tentu harus memenuhi syarat syarat yang di tentukan oleh pihak kampus. Pengertian beasiswa merupakan pemberian bantuan keuangan yang diberikan oleh individu atau perorangan yang bertujuan untuk digunakan. 15 contoh surat pengajuan dengan penulisan yang baik dan benar jika diartikan secara sederhana maka surat pengajuan merupakan sebuah jenis surat yang digunakan untuk mengajukan permohonan atau permintaan kepada pihak lain. Benar benar berbeda keadaanya dengan dulu dimana semua orang masih hanya mengandalkan surat jika ingin berkomunikasi jarak jauh.
Contoh surat permohonan beasiswa ke yayasan. Isi dari surat pengajuan beasiswa ini adalah menjelaskan jika dirinya memohon diberikan beasiswa baik beasiswa prestasi ataupu beasiswa kurang mampu. Download contoh surat resign yang baik biasanya surat permohonan beasiswa ini akan dilampir dengan beberapa berkas seperti fotocopy ktm kk surat keterangan tak mampu surat keterangan tak menerima beasiswa lain dan sebaginya. Surat permohonan berisi tentang sebuah permintaan tentang sesuatu hal kepada pihak yang bersangkutan perseorangan badan atau lembaga organisasi perusahaan atau instansi dan lainnya. 4 contoh surat permohonan izin beasiswa dan pengajuan dana surat permohonan adalah surat yang didalamnya berisi informasi tentang permohonan. Isi dari surat pengajuan beasiswa ini adalah menjelaskan jika dirinya memohon diberikan beasiswa baik beasiswa prestasi ataupu beasiswa kurang mampu.
Dalam mengajukan beasiswa menuntut adanya standar formalitas yang tinggi maka dari itu dalam membuat surat pengajuannya surat yang kita buat harus benar benar lengkap dalam penyusunan surat pengajuan beasiswa tersebut. 10 11 jakarta 10220 indonesia t. 15 contoh surat pengajuan permohonan izin bantuan dan kerjasama seiring dengan perkembangan zaman dan kemajuan teknologi yang semakin canggih penggunaan surat sebagai media komunikasi pun memang semakin menipis. Contoh surat permohonan beasiswa. Surat permohonan beasiswa sekarang ini admin akan membahas artikel tentang surat permohonan beasiswa namun sebelum admin menjelaskan tentang cara membuat surat permohonan beasiswa berikut contohnya. Admin akan sedikit menjelaskan apa itu beasiswa.
Di bawah ini adalah contoh surat pengajuan beasiswa ke yayasan yang bisa digunakan. Surat pengajuan beasiswa kuliah ini dibuat oleh mahasiwa yang diajukan kepada instansi tertentu atau perusahaan tertentu. Anda bisa mengisi surat pengajuan dengan permintaan pindah tugas permohonan izin sampai dengan permintaan bantuan dari pihak lain untuk seseuatu hal misalnya.













